문제 : https://leetcode.com/problems/find-the-duplicate-number/
[1, n] 범위의 정수들로 이루어진 n+1 크기의 배열 nums가 주어진다. 이 배열엔 중복된 숫자가 하나만 존재파는데 중복된 숫자를 구해라.
단, nums 배열은 수정하지 않아야 하고 상수 크기의 추가 공간만 사용해야 한다.
Floyd's cycle detection 으로 풀었다.
nums 배열은 [1, n] 범위의 정수들로 이루어지고 중복된 숫자는 하나 밖에 없다는 조건을 이용해보자.

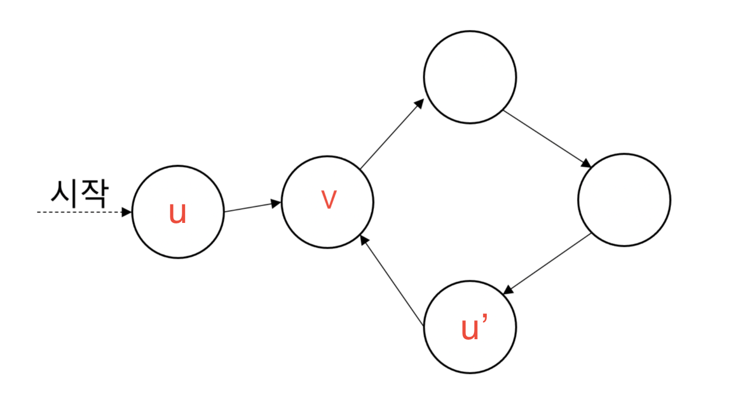
index -> nums[index] 로 방향이 있는 간선을 연결하면 중복된 숫자가 하나가 존재하므로 순환이 발생하게 된다.
이 순환의 시작점이 중복된 숫자가 될 것이다. 순환의 시작점이 되는 지점(let, v)은 진입차수(in-degree)가 2개가 될 것이고 이는 u->v를 만족하는 u가 2개가 됨을 의미하는데. 즉, u -> nums[u] (= v). 식에서의 u, 즉 index가 2개존재함을 의미함과 같다. 따라서 동일한 정수 v를 가지는 2개의 index가 존재하는 v가 정답이 된다.
여기에서 Floyd's cycle detection을 구하는 플로이드의 거북이와 토끼 방법을 사용하여 v를 구할 수 있다.
알고리즘 이론 카테고리가 아니니까 간단히만 말하자면
while(slow != fast) {
slow = nums[slow];
fast = nums[nums[fast]];
}
위 로직을 돌려서 slow 와 fast가 같아지는 지점을 한 번 찾고 slow를 다시 초기값으로 갱신
while(slow != fast) {
slow = nums[slow];
fast = nums[fast];
}
이번엔 위 로직을 돌려서 slow와 fast가 동일해졌을 때의, slow, fast 가 순환의 시작점이 되는 지점, v가 된다.
시간복잡도는 O(N).
참고 : https://leetcode.com/problems/find-the-duplicate-number/discuss/1892999/Simple-easy-solution-c%2B%2B
so genius.
이진탐색 어느정도 됐으니까 이제 이거 좀 풀어봐야지
'알고리즘 문제 > Leetcode' 카테고리의 다른 글
| [Leetcode] 703. Kth Largest Element in a Stream (2) | 2022.04.08 |
|---|---|
| [Leetcode] 31. Next Permutation (0) | 2022.04.03 |
| [Leetcode] 410. Split Array Largest Sum (0) | 2022.03.31 |
| [Leetcode] 74. Search a 2D Matrix (0) | 2022.03.31 |
| [Leetcode] 1663. Smallest String With A Given Numeric Value (0) | 2022.03.22 |
댓글